Главная >> Физика. 9 класс. Пурышева

Глава 4. Элементы квантовой физики

§ 49. Радиоактивные превращения

    Что собой представляет альфа-излучение; бета-излучение; гамма- излучение?

1. При исследовании природы и механизма радиоактивного излучения было установлено, что радиоактивные вещества в результате излучения претерпевают изменения. После того как было установлено, что в центре атома расположено ядро, стало понятно, что именно оно претерпевает изменения при радиоактивных превращениях. В самом деле, ведь α-частицы — это положительные частицы и их нет в электронной оболочке атома. При β-излучении испускаются электроны но уменьшение числа электронов в атоме превращает его в ион того же элемента, но не в новый химический элемент.

Радиоактивное превращение одних ядер в другие называют радиоактивным распадом.

2. Существует два вида радиоактивных распадов: альфа- распад и бета-распад.

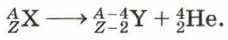
При альфа-распаде радиоактивное ядро X превращается в новое ядро Y, испуская при этом α-частицу. Уравнение альфа-распада выглядит следующим образом:

    Уравнение альфа-распада

В результате альфа-распада элемент смещается на две клетки к началу таблицы Д. И. Менделеева.

Например, при альфа-распаде радия, одного из наиболее широко используемых на практике источников α-частиц, ядро атома радия превращается в ядро атома радона:

    ядро атома радия превращается в ядро атома радона

При бета-распаде из ядра X вылетает электрон Заряд нового ядра Y при этом увеличивается на единицу, а массовое число остаётся неизменным. Уравнение бета-распада записывается так:

    Уравнение бета-распада

Примером бета-распада может быть превращение изотопа углерода в ядро атома азота:

    превращение изотопа углерода в ядро атома азота

В результате бета-распада элемент смещается на одну клетку к концу таблицы Д. И. Менделеева.

Гамма-излучение, часто сопровождающее альфа- и бета-распад, не приводит к изменению массового числа и заряда радиоактивного элемента.

Продолжение >>>

 

 

???????@Mail.ru