Главная >> Физика. 9 класс. Пурышева

Глава 1. Законы механики

Ускорение. Равноускоренное прямолинейное движение

4. Преобразовав формулу ускорения при равноускоренном прямолинейном движении, можно получить формулу для нахождения скорости тела в любой момент времени:

    скорости тела в любой момент времени

Если начальная скорость тела равна нулю, т. е. в начальный момент времени оно покоилось, то эта формула принимает вид:

    начальная скорость тела

5. При вычислении скорости или ускорения пользуются формулами, в которые входят не векторы, а проекции этих величин на координатную ось. Поскольку проекция суммы векторов равна сумме их проекций, то формула для проекции скорости на ось X имеет вид:

    υx = υ0x + axt,

где υx — проекция скорости в момент времени t, υ0x — проекция начальной скорости, аx — проекция ускорения.

При решении задач необходимо учитывать знаки проекций. Так, в случае, изображённом на рисунке 22, а, проекции скоростей и ускорения на ось X положительны; модуль скорости с течением времени возрастает. В случае, изображённом на рисунке 22, б, проекции на ось X скоростей положительны, а проекция ускорения — отрицательна; модуль скорости с течением времени уменьшается.

6. Пример решения задачи

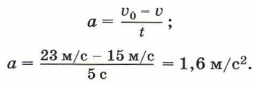
Скорость автомобиля при торможении уменьшилась от 23 до 15 м/с. Каково ускорение тела, если торможение длилось 5 с?

    движения автомобиля

Запишем формулу для нахождения скорости при равноускоренном прямолинейном движении:

В проекциях на ось X получим

    υx = υ0x + axt.

Учитывая, что проекция ускорения тела на ось X отрицатель- на, а проекции скоростей на эту ось положительны, запишем:

    υ = υ0 - at.

Отсюда

Ответ: а = 1,6 м/с2.

<<< К началу      Окончание >>>

 

 

???????@Mail.ru