Главная >> Физика. 9 класс. Пурышева

Глава 1. Законы механики

§ 5. Ускорение. Равноускоренное прямолинейное движение

    Какое движение называют равноускоренным?

    Что характеризует ускорение тела?

1. При неравномерном движении скорость тела с течением времени изменяется. Рассмотрим самый простой случай неравномерного движения.

Движение, при котором скорость тела за любые равные промежутки времени изменяется на одно и то же значение, называют равноускоренным.

Например, если скорость тела за каждые 2 с изменялась на 4 м/с, то движение тела является равноускоренным. Модуль скорости при таком движении может как увеличиваться, так и уменьшаться.

2. Пусть в начальный момент времени t0 = 0 скорость равна 0. В некоторый момент времени t она стала равной . Тогда изменение скорости за промежуток времени t - t0 = t равно - 0, а за единицу времени — Это отношение и называют ускорением. Ускорение характеризует быстроту изменения скорости

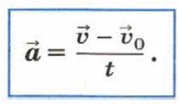
Ускорением тела при равноускоренном движении называют векторную физическую величину, равную отношению изменения скорости тела к промежутку времени, за который это изменение произошло.

    Ускорение

Единица ускорения в СИ — метр на секунду в квадрате (1 м/с2):

    Единица ускорения

За единицу ускорения принимают ускорение такого равноускоренного движения, при котором скорость тела за 1с изменяется на 1 м/с.

3. Поскольку ускорение — величина векторная, необходимо выяснить, как оно направлено.

Пусть автомобиль движется прямолинейно, имея начальную скорость 0 (скорость в момент времени t = 0) и скорость в некоторый момент времени t. Модуль скорости автомобиля возрастает. На рисунке 22, а изображены векторы скорости автомобиля. Из определения ускорения следует, что вектор ускорения направлен в ту же сторону, что и разность векторов - 0. Следовательно, в данном случае направление вектора ускорения совпадает с направлением движения тела (с направлением вектора скорости).

    Рис. 22

Пусть теперь модуль скорости автомобиля уменьшается (рис. 22, б). В этом случае направление вектора ускорения противоположно направлению движения тела.

Продолжение >>>

 

 

???????@Mail.ru