Главная >> Физика. 9 класс. Пурышева

Глава 1. Законы механики

§ 7. Перемещение при равноускоренном прямолинейном движении

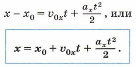
Чтобы получить уравнение движения тела, подставим в формулу проекции перемещения её выражение через разность координат sx = х - x0.

Тогда

    определить координату тела

По уравнению движения можно определить координату тела в любой момент времени, если известны начальная координата, начальная скорость и ускорение тела.

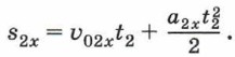
3. На практике часто встречаются задачи, в которых нужно найти перемещение тела при равноускоренном прямолинейном движении, но время движения при этом неизвестно. В этих случаях используют другую формулу проекции перемещения. Получим её.

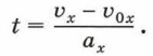
Из формулы проекции скорости равноускоренного прямолинейного движения υx = υ0x + axt выразим время:

    выразим время

Подставив это выражение в формулу проекции перемещения, получим:

    рассчитать тормозной путь транспортных средств

Полученная формула позволяет рассчитать тормозной путь транспортных средств, т. е. путь, который проезжает, например, автомобиль до полной остановки.

4. Пример решения задачи

Лыжник съехал со склона горы из состояния покоя с ускорением 0,5 м/с2 за 20 с и дальше двигался по горизонтальному участку, проехав до остановки 40 м. Сколько времени двигался лыжник по горизонтальной поверхности? Какова длина склона горы?

    Рис.

Систему отсчёта свяжем с Землёй, ось X направим по направлению скорости лыжника на каждом этапе его движения (рис. 32).

    Рис. 32

Запишем уравнение для скорости лыжника в конце спуска с горы:

В проекциях на ось X получим: υ1x = a1xt1. Поскольку проекции скорости и ускорения на ось X положительны, модуль скорости лыжника равен: υ1 = a1t1

Запишем уравнение для перемещения лыжника на втором этапе движения:

    перемещения лыжника

<<< К началу      Окончание >>>

 

 

???????@Mail.ru