Главная >> Физика. 9 класс. Пурышева

Глава 1. Законы механики

§ 7. Перемещение при равноускоренном прямолинейном движении

    Какой вид имеет график зависимости проекции скорости равномерного движения от времени?

    Какой вид имеет график зависимости проекции скорости равноускоренного движения от времени?

1. Используя график зависимости скорости от времени, можно определить перемещение тела при равномерном прямолинейном движении.

На рисунке 30 приведён график зависимости проекции скорости равномерного движения на ось X от времени. Если восставить перпендикуляр к оси времени в некоторой точке С, то получим прямоугольник ОАВС. Площадь этого прямоугольника равна произведению сторон ОА и ОС. Но длина стороны ОА равна vxy а длина стороны ОС — t, отсюда S = υxt. Произведение проекции скорости на ось X и времени равно проекции перемещения, т. е. sx = υxt.

    Рис. 30

Таким образом, проекция перемещения при равномерном прямолинейном движении численно равна площади прямоугольника, ограниченного осями координат, графиком скорости и перпендикуляром, восставленным к оси времени.

2. Получим формулу проекции перемещения при прямолинейном равноускоренном движении. Для этого воспользуемся графиком зависимости проекции скорости на ось X от времени (рис. 31). Выделим на графике малый участок ab и опустим перпендикуляры из точек а и b на ось времени. Если промежуток времени Δt, соответствующий участку cd на оси времени, мал, то можно считать, что скорость в течение этого промежутка времени не изменяется и тело движется равномерно. В этом случае фигура cabd мало отличается от прямоугольника и её площадь численно равна проекции перемещения тела за время, соответствующее отрезку cd.

    Рис. 31

На такие полоски можно разбить всю фигуру ОАВС, и её площадь будет равна сумме площадей всех полосок. Следовательно, проекция перемещения тела за время t численно равна площади трапеции ОАВС. Из курса геометрии вы знаете, что площадь трапеции равна произведению полусуммы её оснований и высоты:

    площадь трапеции

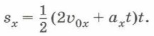
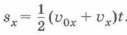
Как видно из рисунка 31, ОА = υ0x, ВС = υx, ОС = t. Следовательно, проекция перемещения выражается формулой:

    проекция перемещения

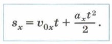
При равноускоренном прямолинейном движении скорость тела в любой момент времени равна υx = υ0x + axt, следовательно,

Отсюда

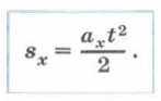
Если начальная скорость тела равна нулю, то формула проекции перемещения тела имеет вид:

    формула проекции перемещения тела

Продолжение >>>

 

 

???????@Mail.ru