Главная >> Финансовый менеджмент: теория и практика. Ковалев. В.В.

Сравнительный анализ проектов разной продолжительности

Метод бесконечного цепного повтора сравниваемых проектов

Рассмотренную методику можно упростить в вычислительном плане. Так, если анализируется несколько проектов, существенно различающихся по продолжительности реализации, расчеты могут быть громоздкими. Их можно уменьшить, если предположить, что каждый из анализируемых проектов может быть реализован неограниченное число раз. В этом случае при п → ∞ число слагаемых в формуле расчета NPV(i, n) будет стремиться к бесконечности, а значение NPV(i, ∞) может быть найдено по известной формуле для бесконечно убывающей геометрической прогрессии:

Из двух сравниваемых проектов имеющий большее значение NPV(i, ∞) является предпочтительным.

    Так, для рассмотренного примера

    Вариант (а)

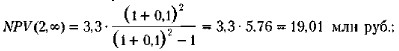
    проект IPA : i = 2, поэтому

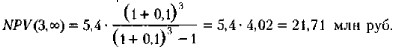
    проект IPB; i = 3, поэтому

    Вариант (б)

    проект IPB: NPV(3,∞) = 21,71 мли руб.;

    проект IPC: NPV{2,∞) = 28,57 млн руб.

    Таким образом, получили те же результаты: в варианте (а) предпочтительнее проект IPB; в варианте (б) предпочтительнее проект IPC.

 

 

???????@Mail.ru