Главная >> Финансовый менеджмент: теория и практика. Ковалев. В.В.

Сравнительный анализ проектов разной продолжительности

Метод эквивалентного аннуитета

Этот метод в известной степени корреспондирует с методом бесконечного цепного повтора. Логика и последовательность вычислительных процедур таковы.

1. Рассчитывают NPV однократной реализации каждого проекта.

2. Для каждого проекта находят эквивалентный срочный аннуитет, дисконтированная стоимость которого в точности равна NPV проекта; иными словами, рассчитывают величину аннуитетного платежа (ЕАА) с помощью формулы (6.35).

3. Предполагая, что найденный аннуитет может быть заменен бессрочным аннуитетом с той же величиной аннуитетного платежа, рассчитывают дисконтированную стоимость бессрочного аннуитета по формуле (6.40). Проект, имеющий большее значение , является предпочтительным.

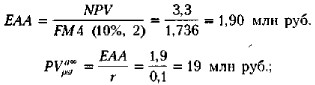
    Для приведенного примера:

    проект IPA:

    проект IP<sub>A</sub>

    проект IPB:

    проект IP<sub>B</sub>

    проект IPC:

    проект IP<sub>C</sub>

    Вновь мы получили те же ответы: в случае (а) предпочтительнее проект IPB; в случае (б) — проект IPC. Легко заметить, что последнюю процедуру (расчет приведенной стоимости бессрочного аннуитета) выполнять необязательно, т. е. можно принимать решение, сравнивая величины аннуитетного платежа ЕАА.

Методам, основанным на повторе исходных проектов, присуща определенная условность, заключающаяся в молчаливом распространении исходных условий на будущее, что не всегда корректно. Во-первых, далеко не всегда можно сделать точную оценку продолжительности исходного проекта; во-вторых, не очевидно, что проект будет повторяться п раз, особенно если он сам по себе продолжителен; в-третьих, условия его реализации в случае повтора могут измениться (это касается как размера инвестиций, так и величины прогнозируемых чистых доходов); в-четвертых, расчеты во всех рассмотренных методах абсолютно формализованны, при этом не учитываются факторы, которые являются либо неформализуемыми, либо имеют общеэкономическую природу (инфляция, научно-технический прогресс, изменение технологий, заложенных в основу исходного проекта, и др.) и т. п. Поэтому к применению этих методов надо подходить осознанно: если исходным параметрам сравниваемых проектов свойственна неопределенность, можно не принимать во внимание различие в продолжительности их действия и ограничиться расчетом стандартных критериев.

 

 

???????@Mail.ru