Главная >> Химия 9 класс. Габриелян

Глава 3. Неметаллы

Кислород. Ответы

Ответ на вопрос 1

Ответ на вопрос 1

Ответ на вопрос 2

Ответ на вопрос 2

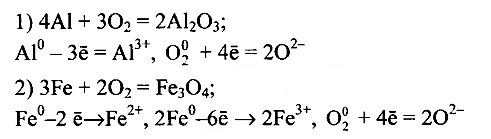
Ответ на вопрос 3

Ответ на вопрос 3

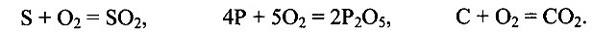
Ответ на вопрос 4

Ответ на вопрос 4

Ответ на вопрос 5

Реакции горения — реакции вещества с кислородом, протекающие с большой скоростью, с выделением большого количества тепла и сопровождающиеся воспламенением.

Дыхание — это процесс медленного окисления. Он заключается в следующем: кислород доставляется гемоглобином крови во все ткани и клетки организма, кислород окисляет углеводы, образуя при этом углекислый газ и воду и освобождая энергию, необходимую для организма.

Сходство заключается в том, что: оба процесса есть процессы окисления, в обоих случаях высвобождается энергия, в результате реакций образуются оксиды.

Различия заключаются в скоростях окисления, в количестве выделяемой энергии.

Ответ на вопрос 6

Фотосинтез — это процесс жизнедеятельности растения, в результате которого они поглощают СО2 и выделяют О2.

Дыхание — это процесс жизнедеятельности растения, животного и человека, в результате которого поглощается O2 и выделяется СO2.

При фотосинтезе и дыхании в растениях происходят противоположные процессы.

Ответ на вопрос 7

Проявите свои творческие способности в написании сочинения.

Ответ на вопрос 8

Ответ на вопрос 8

 

 

???????@Mail.ru