Главная >> Химия 9 класс. Габриелян

Глава 3. Неметаллы

§ 26. Сера

Сера

Строение и свойства атомов

Атомы серы, как и атомы кислорода и всех остальных элементов главной подгруппы VI группы Периодической системы Д. И. Менделеева, содержат на внешнем энергетическом уровне шесть электронов, из которых два электрона неспаренные. Однако по сравнению с атомами кислорода атомы серы имеют больший радиус, меньшее значение электроотрицательности, поэтому проявляют более выраженные восстановительные свойства, образуя соединения со степенями окисления +2, +4, +6. По отношению к менее электроотрицательным элементам (водороду, металлам) сера проявляет окислительные свойства и приобретает степень окисления -2.

Модель молекулы ромбической серы

Взаимопревращения аллотропных модификаций серы

Сера — простое вещество. Для серы, как и для кислорода, характерна аллотропия. Известно много модификаций серы с циклическим или линейным строением молекул различного состава.

Наиболее устойчива модификация, известная под названием ромбической серы, состоящая из молекул S8 (рис. 116). Её кристаллы имеют вид октаэдров со срезанными углами. Они окрашены в лимонно-жёлтый цвет и полупрозрачны, температура плавления 112,8 °С. В эту модификацию при комнатной температуре превращаются все другие модификации. Известно, например, что при кристаллизации из расплава сначала получается моноклинная сера (игольчатые кристаллы, температура плавления 119,3 °С), которая затем переходит в ромбическую (рис. 117). При нагревании кусочков серы в пробирке она плавится, превращаясь в жидкость жёлтого цвета. При температуре около 160 °С жидкая сера начинает темнеть и становится настолько густой и вязкой, что даже не выливается из пробирки, однако при дальнейшем нагревании превращается в легкоподвижную жидкость, но сохраняет прежний тёмно-коричневый цвет. Если её вылить в холодную воду, она застывает в виде прозрачной резинообразной массы. Это пластическая сера. Её можно получить и в виде нитей. Однако через несколько дней она также превращается в ромбическую серу.

Сера не растворяется в воде. Кристаллы серы в воде тонут, а вот порошок плавает на поверхности воды, так как мелкие кристаллики серы водой не смачиваются и поддерживаются на плаву мелкими пузырьками воздуха. Это процесс флотации. Сера малорастворима в этиловом спирте и диэтиловом эфире, хорошо растворяется в сероуглероде.

При обычных условиях сера реагирует со всеми щелочными и щёлочноземельными металлами, медью, ртутью, серебром, например:

Эта реакция лежит в основе удаления и обезвреживания разлитой ртути, например из разбитого термометра. Видимые капли ртути можно собрать на лист бумаги или на медную пластинку. Ртуть, которая попала в щели, нужно засыпать порошком серы. Такой процесс называют демеркуризацией.

При нагревании сера реагирует и с другими металлами (Zn, Al, Fe). Только золото не взаимодействует с ней ни при каких условиях.

Окислительные свойства сера проявляет и с водородом, с которым реагирует при нагревании:

Из неметаллов с серой не реагируют только азот и иод, а также благородные газы.

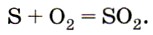
Сера горит синеватым пламенем, при этом образуется оксид серы (IV):

Это соединение широко известно под названием сернистый газ.

В природе сера встречается в трёх формах: самородная, сульфидная и сульфатная (рис. 118, табл. 8).

Сера в природе

Сера в природе

Сера — жизненно важный химический элемент. Она входит в состав белков — одних из основных химических компонентов клеток всех живых организмов. Особенно много серы в белках волос, рогов, шерсти. Кроме этого, сера является составной частью биологически активных веществ организма: витаминов и гормонов (например, инсулина).

Сера участвует в окислительно-восстановительных процессах организма. При недостатке серы в организме наблюдается хрупкость и ломкость костей и выпадение волос.

Серой богаты бобовые растения (горох, чечевица), овсяные хлопья, яйца.

Применение серы. Сера была известна людям с глубокой древности. Своё название она получила от санскритского слова сира, что значит «светло-жёлтый». Сера применялась в Древнем Египте уже за две тысячи лет до нашей эры для приготовления красок, беления тканей и изготовления косметических средств. В Древнем Риме серу применяли для лечения кожных болезней, а в Древней Греции её сжигали в целях дезинфекции вещей и воздуха в помещениях.

В Средние века у алхимиков сера была выражением одного из «основных начал природы» и обязательной составной частью «философского камня».

Если вы читали знаменитый роман А. Дюма «Граф Монте-Кристо», то сможете назвать области применения серы, известные с древнейших времён. Герой романа аббат Фариа притворился, что у него кожная болезнь, и ему для её лечения дали серу, которую предприимчивый аббат использовал для изготовления пороха.

Серу используют в производстве спичек и бумаги, резины и красок, взрывчатых веществ и лекарств, косметических препаратов. В сельском хозяйстве её применяют для борьбы с возбудителями грибных и бактериальных болезней, вредителями растений (рис. 119).

Применение серы:

Однако основной потребитель серы — химическая промышленность. Около половины добываемой в мире серы идёт на производство серной кислоты.

1. Обратитесь к электронному приложению. Изучите материал урока и выполните предложенные задания.

2. Найдите в Интернете электронные адреса, которые могут служить дополнительными источниками, раскрывающими содержание ключевых слов и словосочетаний параграфа. Предложите учителю свою помощь в подготовке нового урока — сделайте сообщение по ключевым словам и словосочетаниям следующего параграфа.

1. Вычислите объём сернистого газа (н. у.), который образуется при обжиге 485 кг цинковой обманки, содержащей в качестве примеси 20% оксида кремния (IV).

2. Составьте уравнение реакции взаимодействия серы с бертолетовой солью КСlO3, зная, что в результате её образуется хлорид калия и сернистый газ. (При уравнивании используйте метод электронного баланса.) Рассмотрите эту реакцию как окислительно-восстановительный процесс.

3. Запишите уравнения реакций, с помощью которых можно осуществить превращения:

Укажите среди этих реакций окислительно-восстановительные, определите окислители и восстановители.

4. Выдающийся естествоиспытатель древности Плиний Старший погиб в 70 г. н. э. при извержении вулкана. Его племянник в письме историку Тациту писал: «...Вдруг раздались раскаты грома, и от горного пламени покатились вниз чёрные серные пары. Все разбежались. Плиний... упал и задохся».

Какими свойствами обладают соединения, входящие в состав вулканических газов?

5. Почему процесс обеззараживания помещений от пролитой ртути называют демеркуризацией?

 

 

???????@Mail.ru