Главная >> Химия 9 класс. Кузнецова

Глава 8. Общие свойства металлов

Химические свойства металлов

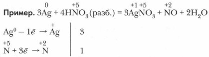
При написании сложных уравнений окислительно-восстановительных реакций металлов используйте метод электронного баланса, основанный на законе сохранения зарядов реагентов и электронов в этих реакциях (см. учебник химии для 8 класса, § 60).

В этом процессе одна молекула HNO3 расходуется на окислительно-восстановительный процесс, а три — на образование соли.

Закономерности окислительно-восстановительных реакций

Окислительно-восстановительные реакции металлов также подчинены этим общим закономерностям.

1. Единство и неразрывность процессов окисления и восстановления металла и его иона в окислительно-восстановительных реакциях.

2. Сохранение числа электронов в реакционной системе. На этом основано составление уравнений реакций методом электронного баланса.

3. Окислительно-восстановительная реакция протекает в сторону образования слабых окислителей из более сильных (эта закономерность изучена нами на примере взаимодействия азотной кислоты разной концентрации с медью).

4. При наличии в системе двух или более окислителей и восстановителей реагируют более сильные (например, в растворе азотной кислоты имеются два вида окислителей — ионы гидроксония и нитрат-ионы. Последние более сильные, поэтому преимущественно продуктами ее восстановления будут соединения азота).

Обобщая все химические реакции металлов, сущность их можно свести к краткой и общей схеме:

Основные понятия

Металлы-восстановители • Закономерности окислительно-восстановительных реакций металлов

Вопросы и задания

1. Назовите основные характеристики элементов-металлов.

2. С какими из веществ, формулы которых даны ниже, будут реагировать калий (а), медь (б): НСl, O2, NaOH, ZnCl2, Cl2, Н2O, HNO3 (конц.)? Напишите уравнения возможных реакций.

3. Докажите, что реакции металлов — окислительно-восстановительные. Какова причина проявления металлами функций восстановителя?

4. Запишите уравнение реакции цинка с разбавленной азотной кислотой, опираясь на схему преимущественных продуктов окислительно-восстановительных реакций и метод электронного баланса.

5. Приведите примеры использования реакций металлов. Раскройте их суть.

6. К какому типу элементов по электронной структуре и характеру относится элемент с порядковым номером 30? Докажите это.

7. Подготовьте небольшие сообщения об истории познания наиболее важных для человека металлов и об их распространении в природе.

8. Сравните соединения с ионной и металлической связью (на примере хлорида натрия и твердого натрия). Найдите между ними сходство и различие.

9. С учетом сведений о металлической связи составьте схему классификации химической связи и укажите классификационные признаки разделения ее на разные виды.

<<< К началу параграфа

 

 

???????@Mail.ru