Главная >> Химия 9 класс. Кузнецова

Глава 8. Общие свойства металлов

§ 48. Химические свойства металлов

    Какие свойства называются химическими? Что вы понимаете под реакционной способностью веществ?
    Приведите примеры химических реакций металлов, запишите их уравнения.
    С какими веществами реагируют металлы и каковы эти реакции?
    В чем сущность известных вам реакций металлов? Составьте обобщенную схему.

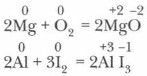
Вы наблюдали многие химические свойства металлов и записывали уравнения их реакций. Вы хорошо помните яркое горение ленты магния, стального пера в кислороде, взаимодействие порошков серы и железа, впечатляющее взаимодействие алюминия с иодом, горение натрия в хлоре и многое другое.

Напишем уравнения этих реакций и укажем условия, при которых перечисленные реакции протекают.

1. Реакции металлов с простыми веществами-неметаллами — это окислительно-восстановительные реакции:

2. В реакцию с водой вступают щелочные, щелочноземельные металлы и алюминий, очищенный от оксидной пленки;

3. В реакциях металлов с растворами солей более активный металл вытесняет менее активный:

4. Металлы взаимодействуют с кислотами:

Чтобы самостоятельно записывать уравнения реакций металлов с кислотами и солями, важно правильно определить продукт реакции. Для этого можно использовать разные ориентировочные основы (ряд активности металлов, таблицу растворимости, схемы взаимодействия металлов с кислотами и солями и др.).

Анализ взаимодействия металлов с разными веществами позволяет сделать следующие обобщающие выводы.

Выводы

1. Металлы — активные реагенты, они взаимодействуют с простыми и сложными веществами.

2. Реакции металлов относятся к окислительно-восстановительным, в которых металлы играют роль восстановителей. Окислителями металлов в этих реакциях являются неметаллы, ионы гидроксония (водорода) и металлов, концентрированные серная и азотная кислоты.

3. Сущность и механизм окислительно-восстановительных реакций металлов отражают их схемы и краткие ионные (электронно-ионные) уравнения реакций.

Сущность химических реакций металлов (окислительно-восстановительных реакций) отражают:

а) обобщенные уравнения с газообразными и твердыми реагентами:

б) обобщенные уравнения с водными растворами солей и кислот:

Окончание параграфа >>>

 

 

???????@Mail.ru