Главная >> Геометрия 7—9 классы. Атанасян

§ 1. Координаты вектора

Разложение вектора по двум неколлинеарным векторам (окончание)

1) Вектор коллинеарен одному из векторов и , например вектору В этом случае по лемме о коллинеарных векторах вектор можно представить в виде где у — некоторое число, и, следовательно, т. е. вектор разложен по векторам и .

2) Вектор не коллинеарен ни вектору , ни вектору . Отметим какую-нибудь точку О и отложим от неё векторы (рис. 274). Через точку Р проведём прямую, параллельную прямой ОВ, и обозначим через A1 точку пересечения этой прямой с прямой О А. По правилу треугольника Но векторы коллинеарны соответственно векторам и , поэтому существуют такие числа х и у, что Следовательно, т. е. вектор разложен по векторам и .

    Рис. 274

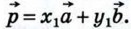
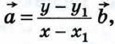
Докажем теперь, что коэффициенты х и у разложения определяются единственным образом. Допустим, что наряду с разложением имеет место другое разложение Вычитая второе равенство из первого и используя правила действий над векторами, получаем Это равенство может выполняться только в том случае, когда коэффициенты х - х1 и у - у1 равны нулю. В самом деле, если предположить, например, что х - x1 ≠ 0, то из полученного равенства найдём а значит, векторы и коллинеарны.

Но это противоречит условию теоремы. Следовательно, х - х1 = 0 и у - у1 = 0, откуда х = х1 и у = у1. Это и означает, что коэффициенты разложения вектора определяются единственным образом. Теорема доказана.

<<< К началу

 

 

???????@Mail.ru