Главная >> Геометрия 7—9 классы. Атанасян

§ 1. Координаты вектора

Разложение вектора по двум неколлинеарным векторам

Докажем сначала лемму1 о коллинеарных векторах.

    1 Леммой называется вспомогательная теорема, с помощью которой доказывается следующая теорема или несколько теорем.

Лемма

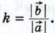
Если векторы и коллинеарны и то существует такое число к, что

Доказательство

Возможны два случая: Рассмотрим эти случаи в отдельности.

1) Возьмём число Так как k ≥ 0, то векторы сонаправлены (рис. 273, а). Кроме того, их длины равны: Поэтому

2) Возьмём число Так как k < 0, то векторы снова сонаправлены (рис. 273, б). Их длины также равны: Поэтому Лемма доказана.

    Рис. 273

Пусть и — два данных вектора. Если вектор представлен в виде где х и у — некоторые числа, то говорят, что вектор разложен по векторам и . Числа х и у называются коэффициентами разложения. Докажем теорему о разложении вектора по двум неколлинеарным векторам.

Теорема

На плоскости любой вектор можно разложить по двум данным неколлинеарным векторам, причём коэффициенты разложения определяются единственным образом.

Доказательство

Пусть и — данные неколлинеарные векторы. Докажем сначала, что любой вектор можно разложить по векторам и Возможны два случая.

Окончание >>>

 

 

???????@Mail.ru