Главная >> Математика 5 класс. Виленкин

§ 5. Обыкновенные дроби

28. Смешанные числа. Математика 5 класс

1100. Какую часть длины отрезка АВ составляет длина каждого отрезка на рисунке 133?

1101. Как изменится правильная дробь и как изменится неправильная дробь, если у каждой из них поменять местами числитель и знаменатель?

1102. Подумайте, сколько полушек в алтыне. Сколько грошей в пятаке? Как гривенник можно разменять на алтыны и гроши? Сколько сдачи с пятиалтынного надо получить при покупке стоимостью в гривенник и три гроша? Сколько пятаков в четвертаке? Почему 25 к. называли четвертаком, а 50 к. — полтинником?

1103. Запишите в виде дроби частные 7:4, 21:11,2:1 ив виде частного дроби

1104. Длина прямоугольника 8 см, а ширина 3 см. Чему равна площади прямоугольника?

1105. Купили 2 кг 100 г крупы и высыпали её в три банки. В первую банку крупы вошло в 3 раза больше, чем во вторую, а в третью банку насыпали 500 г крупы. Сколько крупы насыпали в первую и сколько во вторую банки?

1106. Два автобуса вышли в разное время навстречу друг другу из двух городов, расстояние между которыми 480 км. Скорость первого автобуса 52 км/ч, а скорость второго 42 км/ч. Пройдя 312 км, первый автобус встретился со вторым. На сколько часов первый автобус вышел раньше второго?

1107. Решите уравнение:

1) (327x - 5295) : 57 = 389;
2) (27х + 11) • 315 = 11 970.

1108. Найдите значение выражения:

1) 10 351 - (12 617 : 31 + 208 • 43);
2) 35 -309 + 11 638 : 23 - 9321.

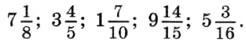
1109. Выделите целую часть числа:

1110. Запишите в виде неправильной дроби числа:

а) 7, 9 и 10 со знаменателем 4;
б) 2, 3 и 8 со знаменателем 5.

1111. Запиш ите в виде неправильной дроби:

1112. В первой канистре было в 5 раз больше бензина, чем во второй. Весь бензин из этих канистр вылили в пустой бензобак автомашины. Если в этот бак долить ещё 7 л бензина, то он окажется полным. Сколько литров бензина было в каждой канистре, если ёмкость бензобака 55 л?

1113. С аэродрома вылетел вертолёт со скоростью 210 км/ч. Через 2 ч с этого же аэродрома вылетел вслед за вертолётом самолёт, который через 3 ч после своего вылета перегнал вертолёт на 840 км. Найдите скорость самолёта.

1114. Составьте программу вычисления выражения

883 336 : 218 + 2967 • 305

и найдите его значение.

<<< К началу

 

 

???????@Mail.ru