Главная >> Математика 5 класс. Виленкин

§ 6. Десятичные дроби. Сложение и вычитание десятичных дробей

30. Десятичная запись дробных чисел (продолжение)

1147. Запишите в виде дроби или смешанного числа:

2,7;  31,4;  567,39;  6,005;  42,78;  0,64; 0,60;  0,07;  0,99.

1148. Выразите:

    а) в дециметрах: 5 дм 6 см;  3 дм 1 см;  9 см;
    б) в центнерах: 24 ц 6 кг;  72 кг;  30 ц 65 кг;
    в) в килограммах: 6 кг 339 г;  5 кг 58 г;  6 т 14 кг 8 г;
    г) в тоннах и килограммах: 1,785 т;  24,300 т;  4,076 т;  5,050 т;
    д) в метрах и сантиметрах: 3,78 м;  2,09 м;
    е) в квадратных метрах и квадратных дециметрах 3,15 м2;  4,08 м2.

1149. Запишите в виде десятичных дробей частные:

182 : 10;  5405 : 100;  631 : 10 000;  74 : 1000;  849 : 1000;  3 : 100 000.

1150. Начертите отрезки: АВ = 1,3 см; CD - 2,1 см; МР = 0,8 см.

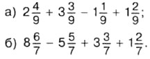
1151. Вычислите устно:

1152. Назовите целую и дробную части числа:

1153. Сравните числа: 23, 2300, 023, 230, 00 023.

1154. Замените дробью или смешанным числом частные: 9:2; 5:11; 8 : 10; 15 : 10.

1155. Укажите координаты точек А, В, С, D (рис. 138). Каково расстояние в единичных отрезках между точками: О и С, О и D, А и В, С и D?

1156. Какое число записывается:

    а) единицей с четырьмя последующими нулями;
    б) единицей с шестью последующими нулями;
    в) единицей с семью последующими нулями?

1157. Определите координаты точек, отмеченных на рисунке 139. Назовите эти координаты в порядке убывания. Назовите два числа, которые больше любой из этих координат.

1158. Выполните действия:

1159. Запишите все числа, у которых целая часть 2, а знаменатель дробной части 6.

1160. Из чисел выделите целую часть, а числа запишите в виде неправильной дроби.

1161. Сравните:

<<< К началу      Окончание >>>

 

 

???????@Mail.ru