Главная >> Математика 5 класс. Виленкин

§ 6. Десятичные дроби. Сложение и вычитание десятичных дробей

30. Десятичная запись дробных чисел. Математика 5 класс

1162. На рисунке 140 показан план квартала города. Ширина каждого дома 25 м, длина 50 м, ширина дорог 25 м. Расскажите, как ближайшим путём пройти от точки А до входа в школу; на почту; в ателье; в дом № 9. Как бы вы объяснили дорогу от дома № 5 до дома № 11; до дома № 6?

1163. Длина прямоугольного параллелепипеда 14 см, ширина 8 см и высота 7 см. Найдите высоту другого прямоугольного параллелепипеда, если его длина 28 см, ширина 7 см, а объём равен объёму первого параллелепипеда.

1164. Решите задачу:

1) Масса арбуза и трёх одинаковых дынь 10 кг. Дыня в 2 раза легче арбуза. Какова масса арбуза?

2) Масса тыквы и трёх одинаковых кабачков 20 кг. Тыква в 2 раза тяжелее кабачка. Какова масса тыквы?

3) За три прыжка кенгуру преодолел расстояние 20 м 70 см. Первые два прыжка оказались одинаковыми, а третий — на 1 м 20 см длиннее. Какова длина второго прыжка кенгуру?

4) Расстояние до норы в 6 м заяц преодолел в четыре прыжка. Первые три прыжка оказались одинаковыми, а последний на 40 см короче остальных. Найдите длину второго прыжка зайца.

1165. Решите уравнение:

1166. Запишите в виде десятичной дроби числа:

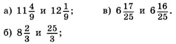
1167. Сравните:

1168. Выразите:

а) в километрах: 8 км 907 м; 35 м; 250 м; 1 м;
б) в центнерах и килограммах: 4,2 ц; 7,33 ц; 0,24 ц; 0,05 ц.

1169. Из двух пунктов, расстояние между которыми 7 км 500 м, одновременно в одном направлении вышел пешеход со скоростью 6 км/ч и выехал автобус. Определите скорость автобуса, если он догнал пешехода через 15 мин.

1170. С трёх лугов собрали 197 ц сена. С первого и второго лугов собрали поровну, а с третьего — на 11 ц больше, чем с первого. Сколько сена собрали с каждого луга?

1171. Выполните действия:

а) ((22 962 : 534 + 9936 : 48) : 25 + 37) • 43;
б) 38 • 203 + 75 • (514 - 476) + (15 + 23) • 22.

<<< К началу

 

 

???????@Mail.ru