Главная >> Математика 6 класс. Виленкин

§ 4. Отношения и пропорции

21. Пропорции (окончание)

768. Найдите отношение величин:

а) 1,5 м и 30 см;        в) 1 ч и 15 мин;
б) 1 кг и 250 г;        г) 50 см2 и 1 дм2.

769. числа равны этого числа. Какое это число?

770. Какое число надо прибавить к числителю и знаменателю дроби чтобы получить дробь

771. Какие из фигур (рис. 33) являются развёртками:

а) четырёхугольной призмы;
б) треугольной призмы;
в) треугольной пирамиды?

772. Из ружья сделано 50 выстрелов, при этом 5 пуль пролетели мимо цели. Определите процент попаданий.

773. Угол А равен 30°, а угол В равен 50°. Какую часть от угла В составляет угол А? Во сколько раз угол В больше угла А?

774. Бригаде было дано задание собрать 280 ц винограда. Она собрала 350 ц. На сколько процентов бригада перевыполнила задание? На сколько процентов бригада выполнила задание?

775. В парке посадили клёны и дубы, причём на каждые 4 клёна приходится один дуб. Сколько процентов от всех посаженных деревьев составляют клёны? Сколько всего посадили деревьев в парке, если клёнов посадили 480?

776. Верна ли пропорция:

а) 2,04 : 0,6 = 2,72 : 0,8;
б) 0,0112 : 0,28 = 0,204 : 0,51?

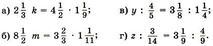
777. Решите уравнение:

778. Из 225 кг руды получили 34,2 кг меди. Каково процентное содержание меди в руде?

779. Через 2 ч после выхода со станции А тепловоз увеличил скорость на 12 км/ч и через 5 ч после начала движения прибыл в пункт назначения В. Какова была скорость тепловоза в начале пути, если расстояние от А до В равно 261 км?

780. Если к неизвестного числа прибавить 0,8, то получится 1,2. Найдите неизвестное число.

781. Выполните действия:

<<< К началу

 

 

???????@Mail.ru