Главная >> Математика 6 класс. Виленкин

§ 4. Отношения и пропорции

21. Пропорции (продолжение)


Что такое пропорция?
Как называются числа х и у в пропорции х : а = b : у?
Как называются числа тп и п в пропорции а : m = n : b?
Сформулируйте основное свойство пропорции.
Какие перестановки членов пропорции снова приводят к верным пропорциям?
Останется ли пропорция верной, если поменять местами какой-нибудь средний её член с одним из крайних? Приведите пример.
Останется ли пропорция верной, если оба средних члена поменять местами с крайними членами? Проверьте ваш ответ на пропорции 3:4 = 9: 12.


760. Запишите пропорцию:

а) 5 так относится к 3, как 2 относится к 1,2;
б) 0,9 так относится к как 45 относится к
в) отношение к 0,1 равно отношению 14 к 4,9.

Проверьте полученные пропорции, определяя отношения чисел.

761. Из каких отношений 0,6 : 5; 4,2 : 7; : 6,25 можно составить верную пропорцию?

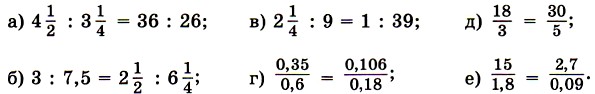
762. Прочитайте пропорции и проверьте, верные ли они, используя основное свойство пропорции:

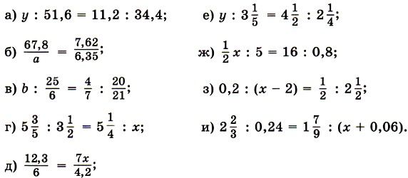
763. Решите уравнение:

764. Переставив средние или крайние члены пропорции, составьте три новые верные пропорции из пропорции:

765. Используя верное равенство 4 • 9 = 0,2 • 180, составьте четыре верные пропорции.

766. Вычислите устно:

767. Какой знак действия надо подставить вместо *, чтобы получилось верное равенство:

<<< К началу      Окончание >>>

 

 

???????@Mail.ru