Главная >> Математика 6 класс. Виленкин

§ 4. Отношения и пропорции

21. Пропорции

Отношения 3,6 : 1,2 и 6,3 : 2,1 равны, так как значения частных равны 3. Поэтому можно записать равенство 3,6 : 1,2 = 6,3 : 2,1, или

  • Равенство двух отношений называют пропорцией.

С помощью букв пропорцию записывают так: a : b = с : d или

Эти записи читают так: «Отношение а к b равно отношению с к d» или «а так относится к b, как с относится к d».

В пропорции или a : b = с : d, числа a и d называют крайними членами, а числа b и с — средними членами пропорции. В дальнейшем будем считать, что все члены пропорции отличны от нуля: а ≠ 0, b ≠ 0, с ≠ 0, d ≠ 0.

В пропорции найдём произведение её крайних и произведение её средних членов. Получим 3,6 • 2,1 = 7,56; 1,2 • 6,3 = 7,56. Значит, 3,6 • 2,1 = 1,2 • 6,3.

  • B верной пропорции произведение крайних членов равно произведению средних.

Верно и обратное утверждение:

  • если произведение крайних членов равно произведению средних членов пропорции, то пропорция верна.

Это свойство называют основным свойством пропорции.

Пропорция 20 : 16 = 5:4 верна, так как 20 • 4 = 16 • 5 = 80.

Поменяем местами в этой пропорции средние члены. Получим новую пропорцию: 20 : 5 = 16 : 4. Она тоже верна, так как при такой перестановке произведение крайних и произведение средних членов не изменилось. Эти произведения не изменятся, если в пропорции 20 : 5 = 16 : 4 поменять местами крайние члены.

Если в верной пропорции поменять местами средние члены или крайние члены, то получившиеся новые пропорции тоже верны.

Используя основное свойство пропорции, можно найти её неизвестный член, если все остальные члены известны.

Пример 1. Найдём в пропорции 0,5 : a = 2 : 13 неизвестный средний член а.

Р е ш е н и е. Используя основное свойство пропорции, получим а • 2 = 0,5 • 13. Отсюда а = 3,25.

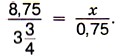
Пример 2. Решим уравнение

Р е ш е н и е. Используя основное свойство пропорции, получим Отсюда Представим в виде десятичной дроби 3,75 и сократим выражение на 0,75, имеем

Продолжение >>>

 

 

???????@Mail.ru