Главная >> Математика 6 класс. Виленкин

§ 7. Умножение и деление положительных и отрицательных чисел

36. Деление (продолжение)

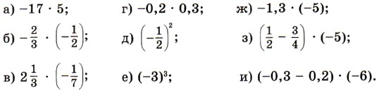
1152. Выполните действия:

1153. Найдите значение выражения:

а) (3m + 6m) : 9, если m = -12; -5,96;
б) (5,2а - 5,2b) : 5,2, если а = -27, b = -3,64.

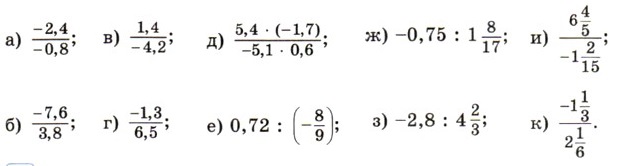
1154. Чему равно частное:

1155. Решите уравнение и выполните проверку:

1157. Я задумал число, умножил его на 5, а затем из произведения вычел 2,7. В результате получил -21,7. Какое число я задумал?

1158. Найдите значение выражения:

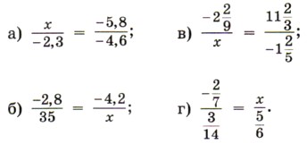
1159. Найдите неизвестный член пропорции:

1160. Вычислите устно:

1161. При каких значениях множителей произведение ху равно нулю? не равно нулю?

1162. В каких случаях может быть верно равенство: а) х = х2; б) х = х3; в) х2 = х3?

1163. Проверьте на примерах справедливость равенства |ab| = |а| • |b|. Попробуйте доказать, что это равенство верно при любых значениях а и b.

1164. Вычислите:

1165. Представьте числа 9; 16 и 25 в виде произведения двух равных множителей. Сколькими способами можно это сделать?

1166. Найдите значение выражения:

а) -2,3 • 0,1 + 35 • (-0,01) - (-2,1) • (-0,2);
б) (4,8 - 7,3 + 2,1 - 2,7 + 3,1) • (-183).

<<< К началу      Окончание >>>

 

 

???????@Mail.ru