Главная >> Математика 6 класс. Виленкин

§ 7. Умножение и деление положительных и отрицательных чисел

36. Деление (окончание)

1167. На рисунке 90 показана карта мира с часовыми поясами. Определите с её помощью: а) поясное время в Екатеринбурге и Владивостоке, если в Москве полночь; б) поясное время в Лондоне, Токио, Нью-Йорке и

Дели, если в Москве 11ч утра. Составьте сами и решите несколько задач на определение поясного времени.

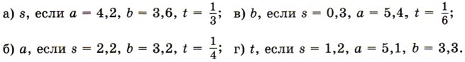
1168. Костя и Вера вышли одновременно из одного и того же пункта в одном и том же направлении. Костя идёт со скоростью а км/ч, а Вера — со скоростью b км/ч. Какое расстояние будет между ними через t ч? Составьте формулу для решения задачи, обозначив искомое расстояние (в километрах) буквой s и зная, что а > b. Найдите по формуле:

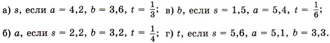
1169. Решите предыдущую задачу, заменив в ней слова «в одном и том же направлении» на слова «в противоположных направлениях». Найдите по полученной формуле:

1170. При каких целых значениях х верно неравенство:

1171. Вычислите с помощью микрокалькулятора:

а) -3,82 • 0,375 - 3,8275;      б) 4,15 • (-1,236) + 3,0994.

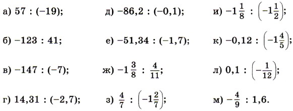
1172. Выполните деление:

1173. Решите уравнение:

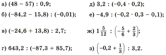
1174. Найдите значение выражения:

1175. Из города одновременно в одном и том же направлении выехали два мотоциклиста. Скорость первого из них была больше скорости второго и составляла 72 км/ч. Через 25 мин расстояние между мотоциклистами было равно 5 км. Найдите скорость второго мотоциклиста.

1176. Найдите значение выражения:

1177. Решите уравнение:

<<< К началу

 

 

???????@Mail.ru