Главная >> Математика 6 класс. Виленкин

§ 9. Координаты на плоскости

43. Перпендикулярные прямые (окончание)

1357. Начертите прямой угол. Отметьте на сторонах угла по одной точке и проведите через них прямые, перпендикулярные сторонам угла. Отметьте точку пересечения этих прямых. Что за четырёхугольник получился на чертеже?

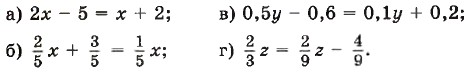
1358. Найдите корень уравнения:

1359. Сумма трёх последовательных целых чисел равна нулю. Какие это числа?

Рис. 102

1360. Расставьте числа 1, -2, 3, -4, 5, -6, 7, -8, 9 в клетках квадрата (рис. 102) так, чтобы их произведения по всем горизонталям, вертикалям и диагоналям были положительны.

1361. Трое ребят нашли в лесу 200 грибов. Никита нашёл 40% всех грибов, Олег — числа грибов, которые нашёл Никита, Дима нашёл остальные грибы. Сколько грибов нашёл Дима?

1362. От куска провода отрезали 50 %, а потом ещё 20 % остатка. После этого осталось 60 м провода. Сколько метров провода было в куске первоначально?

1363. Старинная задача. В клетке сидят фазаны и кролики. У них 19 голов и 62 ноги. Сколько фазанов и сколько кроликов в клетке?

1364. Найдите значение выражения:

1365. Перечертите рисунок 103 в тетрадь. Проведите через точки М и Р прямые, перпендикулярные прямой

1366. Начертите два перпендикулярных отрезка — АВ и MN — так, чтобы они: а) не пересекались; б) пересекались.

1367. Начертите два перпендикулярных луча так, чтобы они: а) не пересекались; б) пересекались; в) имели общее начало.

1368. В каждом из двух вагонов трамвая было одинаковое число пассажиров. После остановки в первом вагоне стало на 20 пассажиров меньше, а во втором — на 10 и число пассажиров в первом вагоне составило числа пассажиров во втором вагоне. Сколько пассажиров было в каждом вагоне до остановки?

1369. Выполните действия:

<<< К началу

 

 

???????@Mail.ru